RD Sharma Solutions Chapter 6 Trigonometric Identities Exercise 6.2 Class 10 Maths

| Chapter Name | RD Sharma Chapter 6 Trigonometric Identities | 
| Book Name | RD Sharma Mathematics for Class 10 | 
| Other Exercises | 
 | 
| Related Study | NCERT Solutions for Class 10 Maths | 
Exercise 6.2 Solutions
1. If cos θ = 4/5, find all other trigonometric ratios of angle θ
Solution
2. If sin θ = 1/√2, find all other trigonometric ratios of angle θ
Solution
3. If tan θ = 1/√2, Find the value of (cosec2 θ – sec2 θ)/(cosec2 θ + cot2 θ)
Solution
4. If tan θ = 3/4, find the value of (1 - cos θ)/(1 + cos θ)
Solution
5. If tan θ = 12/5, find the vale of (1 + sin θ)/(1 - sin θ)
Solution
6. If cot θ = 1/√3, find the value of (1 - cos2 θ)/(2 - sin2 θ)
Solution7. If cosec = √2, find the value of (2sin2 A + 3cot2 A)/4(tan2 A - cos2 A)
Solution
8. If cot θ√3, find the value of (cosec2 θ + cot2 θ)/(cosec2 θ - cot2 θ)
Solution
9. If 3cos θ = 1, find the value of (6sin2 θ + tan2 θ)/4cos θ
Solution
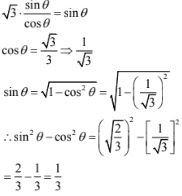
10. If √3 tan θ = sin θ, find the value of sin2 θ - cos2 θ
Solution
11. If cosec θ = 13/12, find the value of (2sin θ - 3cos θ)/(4 sin θ - 9cos θ)
Solution
12. If sin θ + cos θ = √2 cos(90° - θ), find cot θ find cot θ
Solution
