RD Sharma Solutions Chapter 3 Pair of Linear Equation in Two Variables Exercise 3.5 Class 10 Maths

Chapter Name | RD Sharma Chapter 3 Pair of Linear Equation in Two Variables |
Book Name | RD Sharma Mathematics for Class 10 |
Other Exercises |
|
Related Study | NCERT Solutions for Class 10 Maths |
Exercise 3.5 Solutions
In each of the following systems of equations determine whether the system has a unique solution , no solution or infinitely many solutions. In case there is a unique solution, find it : (1, -4)
1. x - 3y - 3 = 0
3x - 9y - 2 = 0
Solution
The given system of equations may be written as
x - 3y - 3 = 0
3x - 9y - 2 = 0
The given system of equations is of the form
2. 2x + y - 5 = 0
4x + 2y - 10 = 0
Solution
The given system of equation may be written as
2x + y - 5 =0
4x + 2y - 10 = 0
The given system of equations is of the form
3. 3x - 5y = 20
6x - 10y = 40
Solution
3x - 5y = 20
6x - 10y = 40
Compare it with
4. x - 2y - 8 = 0
5x - 10y - 10 = 0
Solution
The given system of equation may be written as
x - 2y - 8 = 0
5x - 10y - 10 = 0
The given system if equation is of the form
5. kx + 2y - 5= 0
3x + y - 1 = 0
The given system of equation is
kx + 2y - 5= 0
3x + y - 1 = 0
The system of equation is of the form
2x + 2y+2 = 0
2x - 3y = 12
The given system of equation is
4x - 5y - k = 0
2x - 3y - 12 = 0
The system of equation is of the form
5x + ky + 7 = 0
x + 2y - 3 = 0
5x + ky + 7 = 0
The system of equation is of the form
6x - ky - 15 = 0
The given system of equation is
2x + 3y - 5 = 0
6x - ky - 15 = 0
The system of equation is of the form
10. 4x + 5y = 3
kx + 15y = 9
The given system of equation is
4x + 5y - 3 = 0
kx + 15y - 9 = 0
The system of equation is of the form
4x + 3y + 9 = 0
Solution
The given system of equation is
kx - 2y + 6 = 0
4x + 3y + 9 = 0
The system of equation is of the form
12. 8x + 5y = 9
kx + 10y = 18
The given system of equation is
8x + 5y - 9 = 0
kx + 10y - 18 = 0
The system of equation is of the form
(k + 2)x - (2k + 1)y - 3(2k - 1)
The given system of equation may be written as
2x - 3y - 7 = 0
(k + 2)x - (2k + 1)y - 3(2k - 1) = 0
The system of equation is of the form
14. 2x + 3y = 2
(k + 2)x + (2k + 1)y - 2(k - 1)
2x + 3y - 2 = 0
(k + 2)x + (2k + 1)y - 2(k - 1) = 0
The system of equation is of the form
(k + 1)x + 9y - (5k + 2)
The given system of equation may be written as
x + (k + 1)y - 4 = 0
(k + 1)x + 9y - (5k + 2) = 0
The system of equation is of the form
2(k + 1)x + 9y - (7k + 1)
The given system of equation may be written as
kx + 3y - (2k + 1) = 0
2(k + 1)x + 9y - (7k + 1) = 0
The system of equation is of the form
Hence, the given system of equations will have infinitely many solutions, if k = 2.
6x + (2k - 1)y - (2k + 5)
The given system of equation may be written as
2x + (k - 2)y - k = 0
6x + (2k - 1)y - (2k + 5) = 0
The system of equation is of the form
18. 2x + 3y = 7
(k + 1)x + (2k - 1)y - (4k + 1)
The given system of equation may be written as
2x + 3y - 7 = 0
(k + 1)x + (2k - 1)y - (4k + 1) = 0
The system of equation is of the form
(k - 1)x + (k + 2)y - 3k
The given system of equation may be written as
2x + 3y - k = 0
(k - 1)x + (k + 2)y - 3k = 0
The system of equation is of the form
Find the value of k for which the following system of equations has no solultion: (20 - 25)
6x + 2y = 7
kx - 5y = 2
6x + 2y = 7
condition for system of equations having no solution
2x + ky - 5 = 0
x + 2y = 0
2x + ky - 5 = 0
The system of equation is of the form
kx + 3y - 5 = 0
3x - 4y + 7 = 0
kx + 3y - 5 = 0
The system of equation is of the form
3x + 2y - 1 = 0
2x - ky +3 = 0
3x + 2y - 1 = 0
The system of equation is of the form
24. 2x + ky - 11 = 0
5x - 7y - 5 = 0
2x + ky - 11 = 0
5x - 7y - 5 = 0
The system of equation is of the form
12x + ky = 6
kx + 3y = 3
12x + ky = 6
4x + 6y - 11 = 0
2x + ky - 7 = 0
4x + 6y - 11 = 0
2x + ky - 7 = 0
The system of equation is of the form
αx + 3y = α - 3
12x + αy = α
will have no solution ?
αx + 3y - (α - 3) = 0
12x + αy - α = 0
The system of equation is of the form
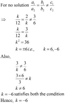
28. Find the value of k for which the system
kx + 2y = 5
3x + y = 1
has (i) a unique solution, and (ii) no solution.
The given system of equation may be written as
kx + 2y - 5 = 0
3x +y - 1 = 0
It is of the form
So, the given system of equations will have a unique solution , if k ≠ 6
29. Prove that there is a value of c (≠0) for which the system
6x + 3y = c - 3
12x + cy = c
has infinitely many solutions. Find this value.
The given system of equation may be written as
6x + 3y - (c - 3)= 0
12x + cy - c = 0
This is of the form
2x + ky = 1
3x - 5y = 7
will have (i) a unique solution, and (ii) no solution . Is there a value of k for which the system has infinitely many solutions ?
The given system of equation may be written as
2x + ky - 1 = 0
3x - 5y - 7 = 0
It is of the form
x + 2y + 7 = 0
2x + ky + 14 = 0
The given system of equations may be written as
x + 2y + 7 = 0
2x + ky + 14 = 0
The given system of equations is of the form
ax + by = c
lx + my = n
The given system of equations may be written as
ax + by - c = 0
lx + my - n = 0
It is of the form
(2a - 1)x + 3y - 5 = 0
3x + (b-1)y - 2 = 0
The given system of equations may be written as
(2a - 1)x + 3y - 5= 0
3x +(b-1)y - 2 = 0
It is of the form
2x - 3y = 7
(a+b)x - (a+ b - 3)y = 4a + b
The given system of equations may be written as
2x - 3y -7 = 0
(a+b)x - (a+ b - 3)y - (4a + b) = 0
It is of the form
35. Find the values of p and q for which the following system of linear equation has infinite number of solutions:
2x - 3y = 9
(p + q)x + (2p - q)y = 3(p + q + 1)
The given system of equations may be written as
2x - 3y - 9 = 0
(p + q)x + (2p - q)y - 3(p + q + 1) = 0
It is of the form
2x + 3y = 7
(a-b)x + (a+ b)y = 3a + b - 2
(a-b)x + (a+ b)y - (3a + b - 2 ) = 0
3x + (b - 2)y = 3
The given system of equations is
3x + (b - 2)y - 3 = 0
It is of the form
(2b + 1)x - 9y = 15
The given system of equations is
(2b + 1)x - 9y - 15 = 0
It is of the form
6x +(1 +2b)y = 6
(a -)x + 3y - 2 = 0
6x +(1 +2b)y - 6 = 0
It is of the form
If a = 3 and b = -4.
(a +b)x + 2(a -b)y = (5a -1)
The given system of equations is
3x + 4y - 12
(a +b)x + 2(a -b)y - (5a -1) = 0
It is of the form
(a - 1)x + (a + 1)y = (3a - 1)
The given system of equations is
2x + 3y - 7 = 0
(a - 1)x + (a + 1)y - (3a - 1) = 0
It is of the form
(vi) 2x + 3y = 7
(a-1)x + (a+ 2)y = 3a
The given system of equations is
2x + 3y - 7 = 0
(a-1)x + (a+ 2)y - 3a = 0
It is of the form